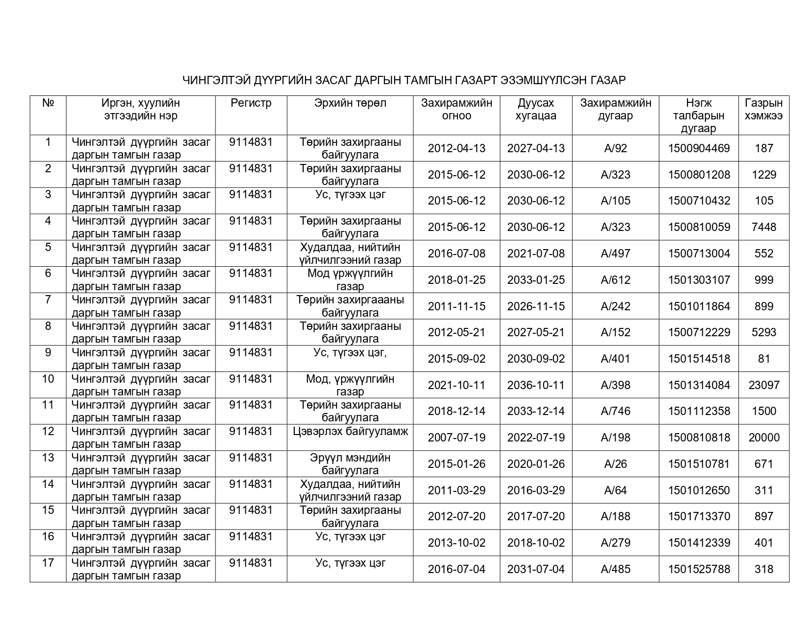
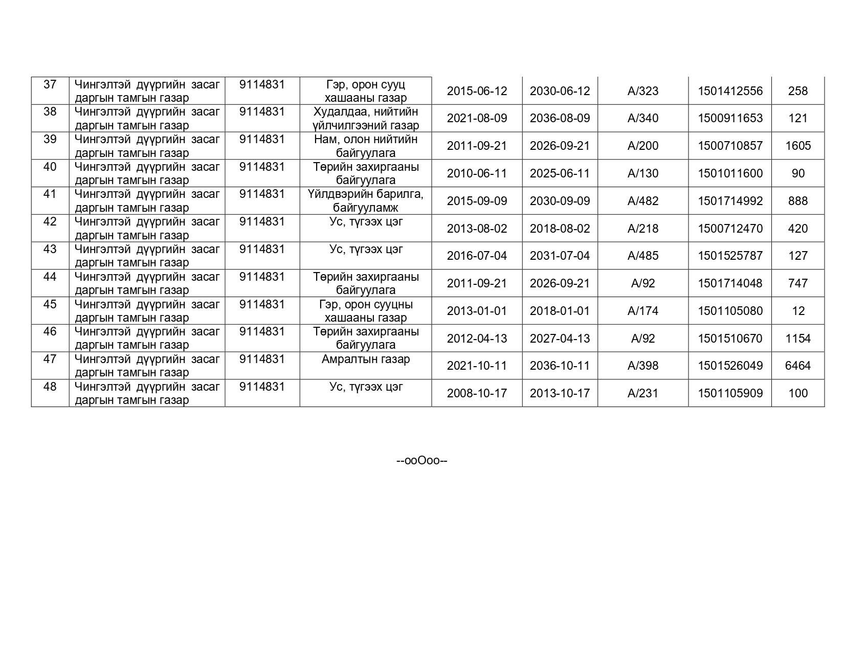
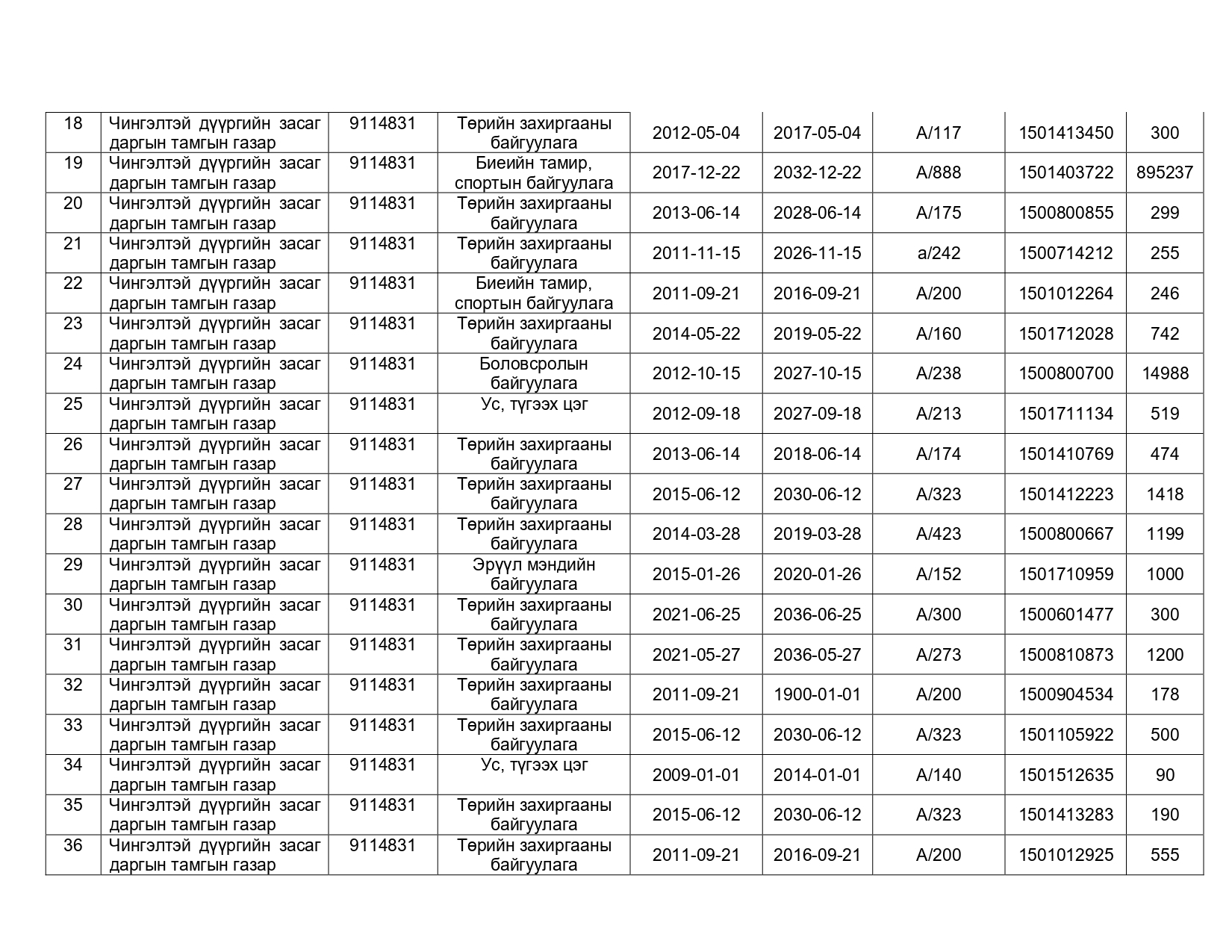
ЧИНГЭЛТЭЙ ДҮҮРГИЙН ЗАСАГ ДАРГЫН ТАМГЫН ГАЗАРТ ЭЗЭМШҮҮЛСЭН ГАЗАР

2023-5-27
1






Photo







©2024. CHINGELTEI DISTRICT GOVERNOR'S OFFICE.